加入收藏 您好,维百奥生物为您提供专业、专心的产品和服务! | MALL-EN | 中文商城
购物指南 支付方式 配送方式 企业QQ:1877748443 电子邮箱:info@vicbio.com
咨询请直拨:136-9140-9741 / International: +86-13691409741
全国免费热线:400-001-2615
 我的询价单 会员中心
产品名称 Sigma V900548 TWEEN ® 20 | 9005-64-5
货号: V900548 规格: 100ML; 500ML; 1L
品牌: Sigma-Aldrich 价格:
产品分类: 特价奥特莱斯专区 研究领域:
CAS编号: 9005-64-5 分子量:
分子式: 别名:
储存条件: 运输条件:
货期: 应用:
说明书: 备注:
产品描述


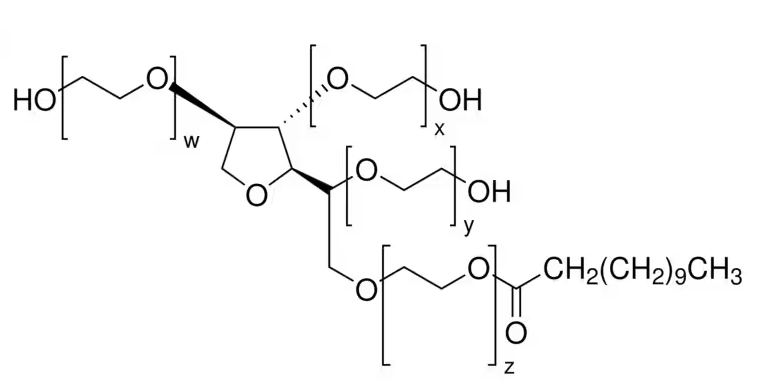
54-V900548.png


产品信息

品名:TWEEN ® 20

别名:聚氧乙烯山梨糖醇酐单月桂酸酯, 聚氧乙烯脱水山梨醇单月桂酸酯, Polyethylene glycol sorbitan monolaurate, Polyoxyethylenesorbitan monolaurate

品牌:Sigma-Aldrich

货号:V900548

规格:100ML; 500ML; 1L


产品属性

CAS号9005-64-5表单viscous liquid
描述non-ionic detergent折射率n20/D 1.468 (lit.)
表单viscous liquid粘度400 mPa.s(25 °C)
分子量~1228mp98.9 °C
浓度40%溶解性water: 0.0002 g/L at 20 °C



分享到:
批量询价
相关产品
选择 产品名称 货号 规格 品牌 分类 研究领域 目录价 操作
Sigma C6905 β-酪蛋白 来源于牛奶(β-Casein from bovine milk) | 9000-71-9 C6905 250mg;1g 询价
Sigma T0625 牛磺酸(Taurine) | 107-35-7 T0625 10mg;10g;25g;100g;500g;1kg 询价
Sigma 57310 吲哚丁酸(Indole-3-butyric acid) | 133-32-4 57310 5g;25g;100g 询价
Sigma I5386 吲哚丁酸(Indole-3-butyric acid) | 133-32-4 I5386 1g;5g;25g 询价
Sigma M2069 D-(+)-甘露糖(D-(+)-Mannose) | 3458-28-4 M2069 25g;100g;100g;500g 询价
Sigma M6020 D-(+)-甘露糖(D-(+)-Mannose) | 3458-28-4 M6020 25g;100g;500g 询价